Lỗ 136 tỷ năm 2022, Thành phố Aqua còn dư nợ trái phiếu ra sao?

(Vietnamdaily) - Công ty TNHH Thành phố Aqua công bố thua lỗ gần 136 tỷ đồng trong năm 2022, trong khi năm 2021 có lãi ròng lên tới 732 tỷ đồng.

Do đó, vốn chủ sở hữu tại ngày 31/12/2022 của Thành phố Aqua giảm 135 tỷ so với năm 2021, về gần 1.490 tỷ đồng.
Tương ứng tỷ suất lợi nhuận sau thuế/vốn chủ sở hữu âm 9%, trong khi cùng kỳ năm 2021 ghi dương đến 45%.
Lo 136 ty nam 2022, Thanh pho Aqua con du no trai phieu ra sao?
 Một số chỉ tiêu năm qua của Thành phố Aqua
Năm 2022, Thành phố Aqua đã tăng vay nợ khi hệ số nợ phải trả/vốn chủ sở hữu tăng từ 6,19 lần của năm 2021 lên 7,96% cuối năm 2022. Trong khi dư nợ trái phiếu/vốn chủ sở hữu lại giảm từ 2,83 lần xuống mức 2,01 lần. Điều này đồng nghĩa với việc dư nợ trái phiếu của Thành phố Aqua tương ứng gần 3.000 tỷ đồng.
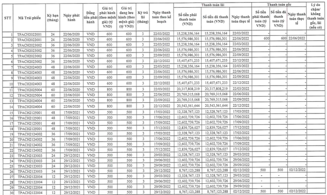
Năm 2022, Thành phố Aqua đã thanh toán 1.600 tỷ đồng trái phiếu có mã TPACH2022001, TPACH2123003 và TPACH2122004. 
Như vậy, Thành phố Aqua còn các lô trái phiếu sau TPACH2023002 (600 tỷ đồng), TPACH2023002 (600 tỷ), TPACH2024003 (600 tỷ), TPACH2025004 (800 tỷ), TPACH2125001 (500 tỷ), TPACH2124002 (500 tỷ).
Lo 136 ty nam 2022, Thanh pho Aqua con du no trai phieu ra sao?-Hinh-2
 Tình hình trả nợ gốc và lãi trái phiếu năm 2022 của Thành phố Aqua
Công ty TNHH Thành phố Aqua có vốn điều lệ 845,21 tỷ đồng, do ông Bùi Đạt Chương là người đại diện, chuyên về kinh doanh bất động sản. Thành phố Aqua là công ty con của Tập đoàn Novaland (nắm 69,98%).
Thành phố Aqua là chủ đầu tư dự án Aqua City. Hồi tháng 2 vừa qua, Chủ tịch Bùi Thành Nhơn đã mong muốn Thủ tướng chỉ đạo chọn khu đô thị vệ tinh Aqua City tại tỉnh Đồng Nai làm dự án thí điểm để Tổ công tác của Thủ tướng cùng địa phương tháo gỡ khó khăn và thời gian tháo gỡ trong 1 tháng.

Novaland góp thêm 2.000 tỷ đồng vào công ty nắm 70% vốn dự án Aqua City

(Vietnamdaily) - HĐQT CTCP Tập đoàn Đầu tư Địa ốc No Va (Novaland, NVL) vừa thông qua Nghị quyết tăng vốn vào The Prince Residence cũng như huy động tiền qua kênh trái phiếu.
 

Theo Nghị quyết, Novaland dự kiến rót thêm 500 tỷ đồng vào CTCP The Prince Residence. Phương thức sẽ góp vốn một hoặc nhiều lần, nguồn vốn lấy từ số tiền huy động trái phiếu.

Thời gian thực hiện trong quý 1-2/2022. Sau khi rót vốn, tổng sở hữu của NVL tại công ty này là 99,928% vốn.

Chủ tịch Novaland Bùi Thành Nhơn đề xuất chọn Aqua City để thí điểm tháo gỡ khó khăn

Chủ tịch Novaland khẳng định trong giai đoạn này, doanh nghiệp chỉ xin hỗ trợ về cơ chế để tự vượt qua khó khăn.

Tại Hội nghị toàn quốc tháo gỡ khó và thúc đẩy thị trường bất động sản phát triển an toàn, lành mạnh, bền vững do Thủ tướng Chính phủ Phạm Minh Chính chủ trì, các doanh nghiệp chia sẻ tình hình khó khăn trong giai đoạn hiện nay.

Ông Phạm Thiếu Hoa, Chủ tịch HĐQT Công ty Cổ phần Vinhomes phản ánh, thị trường bất động sản hiện nay có những vướng mắc nổi cộm về thủ tục pháp lý, dòng vốn tín dụng hạn chế, nguồn cung nhà ở khan hiếm, cung cầu lệch pha, trái phiếu doanh nghiệp không phát hành được…Trong khi đó, bất động sản là lĩnh vực quan trọng liên quan đến nhiều ngành sản xuất, kinh doanh, có ảnh hưởng trực tiếp và gián tiếp đến cuộc sống của người lao động, đem lại nguồn thu rất lớn cho ngân sách nhà nước…

Thái Tuấn làm ăn ra sao mà chậm trả nợ 840 tỷ đồng trái phiếu?

(Vietnamdaily) - Tổng số tiền gốc và lãi trái phiếu mà Thái Tuấn chưa thanh toán là 840 tỷ đồng do chưa thu xếp được nguồn tiền.

CTCP Tập đoàn Thái Tuấn vừa công bố tin về tình hình thanh toán gốc và lãi trái phiếu trong năm 2022.

Theo đó, Thái Tuấn có 2 mã trái phiếu là TTDCH2122001 và TTDCH2122002 được phát hành vào tháng 4 và 5/2021 với cùng kỳ hạn 18 tháng có tổng mệnh giá 800 tỷ đồng nhưng công ty chưa thanh toán.