Báo Tri thức và Cuộc sống - TIN TỨC PHỔ BIẾN KIẾN THỨC 24H
  • Tài chính - Ngân hàng
  • Bất động sản
  • Golf & Doanh nhân
  • Doanh nghiệp
  • Tin 24/7
  • Hitech - Xe
  • Tiêu dùng - Bạn đọc
VietnamDaily Relax
Báo Tri thức và Cuộc sống - TIN TỨC PHỔ BIẾN KIẾN THỨC 24H
Tài chính - Ngân hàng Bất động sản Golf & Doanh nhân Doanh nghiệp Tin 24/7 Hitech - Xe Tiêu dùng - Bạn đọc

VietnamDaily Relax

Muôn vàn cách đặt mật khẩu wifi “hack não” gây ức chế

05/05/2019 09:00

(VietnamDaily) - Với những mật khẩu wifi dạng giải toàn hay hóa đã khiến người dùng cảm thấy khá nan giải còn những kẻ muốn dùng chùa thì phải bó tay.

Thiên Anh

Lỗ hổng mới khiến người dùng WiFi gặp nguy hiểm

Với nhiều người, việc hỏi mật khẩu wifi ở 1 điểm đến là điều khá bình thường. Tuy nhiên, không phải bất cứ đâu cũng để password dễ tìm, điển hình như việc bạn buộc phải giải 1 bài toán hay hóa để có được thứ mình cần.
Với nhiều người, việc hỏi mật khẩu wifi ở 1 điểm đến là điều khá bình thường. Tuy nhiên, không phải bất cứ đâu cũng để password dễ tìm, điển hình như việc bạn buộc phải giải 1 bài toán hay hóa để có được thứ mình cần.
Người dùng nếu muốn có pass wifi cần phải giải hệ phương trình khá phức tạp, điều này khiến nhiều người cảm thấy thích thú. Họ cho rằng đây là cách hay để truyền cảm hứng học tập.
Người dùng nếu muốn có pass wifi cần phải giải hệ phương trình khá phức tạp, điều này khiến nhiều người cảm thấy thích thú. Họ cho rằng đây là cách hay để truyền cảm hứng học tập.
Cách đây không lâu, nhiều học sinh cũng từng lan truyền bức ảnh cô giáo cung cấp pass wifi qua một phương trình đại số rắc rối. Kết quả là nhiều học sinh thà tự bật 3G hoặc không nghĩ đến chuyện vào mạng hơn là cố gắng ngồi giải.
Cách đây không lâu, nhiều học sinh cũng từng lan truyền bức ảnh cô giáo cung cấp pass wifi qua một phương trình đại số rắc rối. Kết quả là nhiều học sinh thà tự bật 3G hoặc không nghĩ đến chuyện vào mạng hơn là cố gắng ngồi giải.
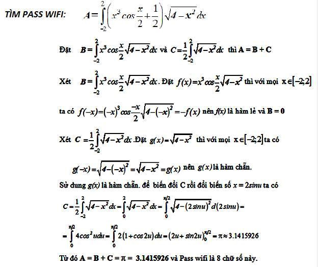
Bước vào quán cà phê, xin pass wifi mà chủ quán bắt giải bài toán tích phân này để lấy mật khẩu chắc hẳn nhiều người sẽ phải toát mồ hôi.
Bước vào quán cà phê, xin pass wifi mà chủ quán bắt giải bài toán tích phân này để lấy mật khẩu chắc hẳn nhiều người sẽ phải toát mồ hôi.
Ngày 23/10/2018, học sinh trường THPT Nguyễn Công Trứ (An Giang) đăng ảnh chụp đề Toán trên một diễn đàn. Điều đặc biệt, đề bài này không phải bài tập về nhà hay đề thi mà chính là câu đố dành cho những học trò muốn sử dụng wifi miễn phí ở trường.
Ngày 23/10/2018, học sinh trường THPT Nguyễn Công Trứ (An Giang) đăng ảnh chụp đề Toán trên một diễn đàn. Điều đặc biệt, đề bài này không phải bài tập về nhà hay đề thi mà chính là câu đố dành cho những học trò muốn sử dụng wifi miễn phí ở trường.
Không chỉ Toán mà ngay cả bộ môn Hóa học cũng được áp dụng để thách đố lẫn nhau để có pass wifi.
Không chỉ Toán mà ngay cả bộ môn Hóa học cũng được áp dụng để thách đố lẫn nhau để có pass wifi.
Bên cạnh những mật khẩu wifi bằng cách giải toán hay hóa thì nhiều chủ quán cũng vui tính khi đặt ra những password dễ gây hiểu lầm.
Bên cạnh những mật khẩu wifi bằng cách giải toán hay hóa thì nhiều chủ quán cũng vui tính khi đặt ra những password dễ gây hiểu lầm.
Pass lẫn lộn cả chữ cả số quả là khó hack cho những kẻ muốn dùng chùa.
Pass lẫn lộn cả chữ cả số quả là khó hack cho những kẻ muốn dùng chùa.
Mật khẩu wifi "Ngu thì đừng hỏi" khiến dân mạng cười ngả nghiêng.
Mật khẩu wifi "Ngu thì đừng hỏi" khiến dân mạng cười ngả nghiêng.
Người đẹp phải nhờ nhân viên nhà hàng trợ giúp vì mật khẩu wifi dài và khó nhớ.
Người đẹp phải nhờ nhân viên nhà hàng trợ giúp vì mật khẩu wifi dài và khó nhớ.

Bạn có thể quan tâm

Mỹ nhân Philippines đoạt giải á hậu ở Việt Nam năm 2025 hiện tại ra sao?

Mỹ nhân Philippines đoạt giải á hậu ở Việt Nam năm 2025 hiện tại ra sao?

Vợ chồng diễn viên Anh Đào tận hưởng cuộc sống hôn nhân ngọt ngào

Vợ chồng diễn viên Anh Đào tận hưởng cuộc sống hôn nhân ngọt ngào

Con gái Trương Mỹ Nhân xinh như công chúa đón tuổi mới

Con gái Trương Mỹ Nhân xinh như công chúa đón tuổi mới

Diệp Lâm Anh tổ chức sinh nhật hoành tráng cho Trang Pháp

Diệp Lâm Anh tổ chức sinh nhật hoành tráng cho Trang Pháp

Lê Phương được mẹ chồng ủng hộ diễn xuất

Lê Phương được mẹ chồng ủng hộ diễn xuất

Thành Termessos: Thành cổ hiểm trở từng khiến Alexander bỏ cuộc

Thành Termessos: Thành cổ hiểm trở từng khiến Alexander bỏ cuộc

Vật thể lạ nghi UFO xuất hiện tại căn cứ hải quân Mỹ

Vật thể lạ nghi UFO xuất hiện tại căn cứ hải quân Mỹ

Rome khai quật di tích cổ đại từ thời Cộng hòa La Mã, hé lộ tín ngưỡng cổ xưa

Rome khai quật di tích cổ đại từ thời Cộng hòa La Mã, hé lộ tín ngưỡng cổ xưa

Á hậu Thu Ngân ghi điểm với vẻ đẹp ngọt ngào ở Miss Intercontinental

Á hậu Thu Ngân ghi điểm với vẻ đẹp ngọt ngào ở Miss Intercontinental

Khám phá độc đáo về nghi lễ cổ đại tại miền bắc Israel

Khám phá độc đáo về nghi lễ cổ đại tại miền bắc Israel

Tinh vân Helix hé lộ quá trình cuối đời của sao Mặt trời

Tinh vân Helix hé lộ quá trình cuối đời của sao Mặt trời

Phát hiện hồ chữa bệnh cổ xưa tại Tenea hé lộ bí ẩn về y học thời La Mã

Phát hiện hồ chữa bệnh cổ xưa tại Tenea hé lộ bí ẩn về y học thời La Mã

Top tin bài hot nhất

Rome khai quật di tích cổ đại từ thời Cộng hòa La Mã, hé lộ tín ngưỡng cổ xưa

Rome khai quật di tích cổ đại từ thời Cộng hòa La Mã, hé lộ tín ngưỡng cổ xưa

26/01/2026 14:44
Thành Termessos: Thành cổ hiểm trở từng khiến Alexander bỏ cuộc

Thành Termessos: Thành cổ hiểm trở từng khiến Alexander bỏ cuộc

27/01/2026 07:14
Tinh vân Helix hé lộ quá trình cuối đời của sao Mặt trời

Tinh vân Helix hé lộ quá trình cuối đời của sao Mặt trời

26/01/2026 12:22
Khám phá độc đáo về nghi lễ cổ đại tại miền bắc Israel

Khám phá độc đáo về nghi lễ cổ đại tại miền bắc Israel

26/01/2026 12:27
Vật thể lạ nghi UFO xuất hiện tại căn cứ hải quân Mỹ

Vật thể lạ nghi UFO xuất hiện tại căn cứ hải quân Mỹ

27/01/2026 07:12

Giấy phép hoạt động báo chí số 29/GP-CBC Bộ TTTT cấp ngày 24/12/2020

Tổng biên tập: Nhà báo Nguyễn Thị Mai Hương

Phó Tổng biên tập: Nhà báo Nguyễn Danh Châu

Tòa soạn: Số 70 Trần Hưng Đạo, phường Cửa Nam, Hà Nội.

VPĐD tại TP.HCM: Số 54 Phạm Huy Thông, phường Hạnh Thông, Thành phố Hồ Chí Minh.

Điện thoại: 024 6 254 3519

Hotline: 096 523 77 56 (Toà soạn Hà Nội) / 091 122 12 22 (VPĐD TPHCM)

Email: tkts@kienthuc.net.vn

Chuyên trang của Báo

Báo Tri thức và Cuộc sống - TIN TỨC PHỔ BIẾN KIẾN THỨC 24H

Liên hệ quảng cáo

Email: quangcao.kienthuc@gmail.com

DMCA.com Protection Status