Như VietNamNet phản ánh, dù chi cả chục tỷ đồng mua biệt thự, liền kề tại dự án xây dựng công trình hạ tầng kĩ thuật và nhà ở tại khu chức năng đô thị Tây Nam đường 70, quận Nam Từ Liêm (tên thương mại là Louis City Đại Mỗ) nhưng nhiều cư dân, khách hàng đang trong cảnh khóc dở, mếu dở bởi hạ tầng khu đô thị còn ngổn ngang, nơm nớp nỗi lo về an ninh trật tự…chậm bàn giao nhà đến cả năm nay.
|  Nhóm cư dân, khách hàng tại dự án Louis City Đại Mỗ căng băng rôn ngay tại dự án Louis City Hoàng Mai vừa tái khởi động sau cả thập kỷ bỏ hoang để đòi quyền lợi (ngày 30/5).   | 
Nhiều hộ dân về ở 1-3 năm nhưng chưa được bàn giao giấy chứng nhận quyền sử dụng đất (sổ đỏ). Theo các hộ dân tại đây, cư dân đã nhiều lần kiến nghị với chủ đầu tư, ban quản lý những bất cập tại dự án tuy nhiên tình hình vẫn không mấy cải thiện.
 Mới đây nhất, chủ đầu tư đã có văn bản trả lời cư dân về những vấn đề tồn tại tại dự án. Trong đó đưa ra thời gian khắc phục là trong tháng 6,7,8 tới đây.
 Tuy nhiên, cư dân cho hay, tìm hiểu chúng tôi được biết nhà đầu tư tại dự án này cũng có liên quan đến dự án Louis City Hoàng Mai (quận Hoàng Mai) sắp tới đang đẩy mạnh việc bán hàng.
 “Chúng tôi lo ngại việc hứa hẹn giải quyết trong 3 tháng tới là để tạo điều kiện cho việc bán hàng dự án mới. Trong khi ở dự án Louis City Đại Mỗ nhiều khách hàng còn đang bị chậm bàn giao nhà cả năm nay, hạ tầng cư dân đã về ở 1-3 năm nay mà vẫn ngổn ngang thiếu thốn người dân lo sẽ bị “đem con bỏ chợ” – cư dân bày tỏ.
|  Tái xuất sau 10 năm đắp chiếu, đại dự án Louis City Hoàng Mai lại gặp biến.   | 
 Việc treo băng rôn tại dự án Louis City Hoàng Mai, nhóm cư dân và khách hàng cho biết để đòi quyền lợi tránh việc bị “đem con bỏ chợ”, nhà đầu tư không rơi vào cảnh khóc dở, mếu dở như ở dự án Louis City Đại Mỗ. 
 Cực chẳng đã, ngày 30/5, nhóm cư dân, khách hàng dự án Louis City Đại Mỗ đã xuống tận dự án Louis City Hoàng Mai căng băng rôn với các nội dung: “Yêu cầu chủ đầu tư Louis City Đại Mỗ không làm đô thị hoang”; “Yêu cầu chủ đầu tư Louis City Đại Mỗ hoàn thiện tiện ích cho cư dân như cam kết”; “Dự án Louis City Đại Mỗ bàn giao nhà 3 năm chưa có sổ đỏ”…
| Chi cả chục tỷ mua nhà tại dự án Louis City Đại Mỗ, có hộ đã về ở đã 2-3 năm nhưng vẫn phải sống trong cảnh “khóc dở mếu dở” vì hạ tầng ngổn ngang, thiếu thốn đủ thứ. | 
 “Mỗi căn biệt thự, liền kề tại dự án Louis City Đại Mỗ chúng tôi mua ít nhất đến cả chục tỷ là mua cả tiện ích, dịch vụ đi kèm. Dự án vẫn đang trong quá trình hoàn thiện nên ảnh hưởng từ việc thi công các căn biệt thự, liền kề khác là không thể tránh khỏi. Cư dân chúng tôi cũng hiểu điều này. Tuy nhiên, khi đã thông báo bàn giao để người dân về ở thì cũng phải đáp ứng được những điều kiện cơ bản đảm bảo cuộc sống cho cư dân. Nhà bàn giao 1-3 năm mà hệ thống chiếu sáng trong khu đô thị còn chưa hoàn thiện vẫn phải dùng đèn cao áp treo bằng những gậy gỗ tạm bợ, hạ tầng thì ngổn ngang đến việc thu dọn rác cũng phải kiến nghị khiến người dân rất mệt mỏi, bức xúc” – anh H., một cư dân cho biết.
|  | 
|  Cư dân phản ánh, có thời gian mất trộm xảy ra trong 2 đêm liền cư dân bị lấy đi tới 7 máy tính xách tay, rồi mất trộm xe máy đến cả cục nóng, vài mét ống đồng dây điều hoà cũng bị cắt trộm.   | 
|  Hệ thống đèn đường chưa được hoàn thiện khắc phục bằng đèn cao áp "treo que" tạm thời.   | 
|  Còn anh T., một khách hàng cho hay, anh đã nhận được thông báo bàn giao từ năm 2019 nhưng đến giờ dự án vẫn còn nhiều bất cập nên gia đình anh chưa dám về ở.   | 
| Tại dự án, không ít khách hàng đang trong cảnh bị chậm bàn giao nhà cả năm nay. Chị V.A. phản ánh, theo hợp đồng, thời gian chị được bàn giao là tháng 3/2019 nhưng đến nay vẫn chưa được nhận nhà khiến gia đình chị rất sốt ruột. | 
 Người dân cho rằng, lo ngại việc hứa hẹn giải quyết trong 3 tháng tới để tạo điều kiện cho việc bán hàng dự án mới trong khi ở dự án Louis City Đại Mỗ nhiều khách hàng còn đang bị chậm bàn giao nhà cả năm nay không phải không có lý do. Việc treo băng rôn tại dự án Louis City Hoàng Mai, nhóm cư dân và khách hàng cho biết để đòi quyền lợi tránh việc bị “đem con bỏ chợ”, nhà đầu tư không rơi vào cảnh khóc dở, mếu dở như ở dự án Louis City Đại Mỗ.
| Khu đô thị nghìn tỷ được quảng cáo với nhiều tiện ích, thảm cỏ bồn hoa long lanh nhưng đến nay chỉ toàn thấy cỏ dại mọc um tùm. | 
|  | 
|  Nhiều hộ dân bày tỏ muốn về đây sinh sống nhưng thấy hạ tầng dự án còn ngổn ngang, bất cập lại chưa dám chuyển. Nhiều khách hàng bị chậm tiến độ cả năm nay chưa được bàn giao nhà.   | 
 Liên quan đến dự án Louis City Hoàng Mai, VietNamNet đã phản ánh, thời gian vừa qua, sau cả chục năm “đắp chiếu”, dự án Đầu tư xây dựng Khu đô thị mới Hoàng Văn Thụ (quận Hoàng Mai, Hà Nội) được "cò đất" rao bán rầm rộ dưới tên Dự án Louis City Hoàng Mai khi dự án vẫn là bãi đất ngổn ngang.
 Theo một môi giới nhận là nhân viên của Công ty CP Tập Đoàn Thế Kỷ (CenLand) - đơn vị phân phối trực tiếp tư vấn thừa nhận, dự án chưa mở bán chính thức nhưng trước đó đã bán cho rất nhiều khách hàng dưới hình thức “Hợp đồng hợp tác đầu tư”, thậm chí môi giới này tiết lộ đã có nhiều khách hàng ký Hợp đồng mua bán (HĐMB) trực tiếp với chủ đầu tư.
|  Sau cả chục năm “đắp chiếu”, dự án Louis City Hoàng Mai được "cò đất" rao bán rầm rộ khi dự án vẫn là bãi đất ngổn ngang. Ngày 30/5, nhóm cư dân khách hàng dự án Louis City Đại Mỗ căng băng rôn tại dự án đòi quyền lợi không bị "đem con bỏ chợ".    | 
 Trong khi đó trao đổi với PV VietNamNet, lãnh đạo Công ty CP đầu tư phát triển đô thị Hoàng Mai cho biết, hiện chủ đầu tư đang tiến hành xây dựng công trình hạng mục hạ tầng kỹ thuật và khẳng định chủ đầu tư chưa bán và không rao bán gì cả.
 “Dự án đang làm hạ tầng, khi nào hạ tầng xong chúng tôi mới mở bán cho khách hàng, chúng tôi chưa ký HĐMB với bất cứ khách hàng nào. Việc ký HĐMB chỉ thực hiện khi đủ điều kiện”, vị này nói.
|  | 
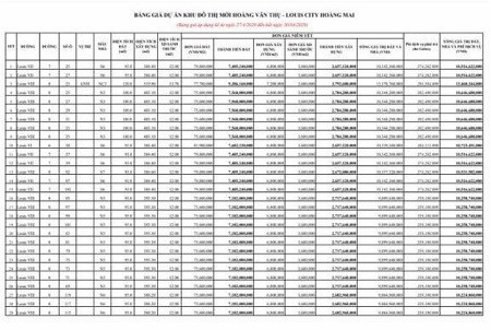
|  Bảng hàng dự án Louis City Hoàng Mai. Theo đó, mỗi lô đất liền kề có tổng giá trị giao dịch là khoảng từ 10-12 tỷ đồng/lô tùy từng diện tích, vị trí. Điều đáng nói, khách hàng phải chịu khoản phí dịch vụ hàng trăm triệu đồng.   | 
 Theo bảng giá đợt 1 của dự án (áp dụng từ ngày 27/4/2020) do môi giới cung cấp thể hiện rõ giá trị từng lô đất. Đối với lô đất liền kề có diện tích 100m2 có tổng giá trị giao dịch là hơn 10,646 tỷ đồng nhưng giá trên hợp đồng là 10,344 tỷ đồng. Giá chênh hơn 302 triệu đồng được quy vào mục phí dịch vụ phải trả cho công ty môi giới.
    
   
   
   
   
   
   
   
   
   
   
   
   
   
   
   
   
   
   
   
   
  