Lỗi túi khí, 75 xe Volkswagen Passat và Golf bị triệu hồi tại Việt Nam

Volkswagen Việt Nam vừa triệu hồi 75 xe Passat và Golf do nguy cơ lỗi túi khí Takata. Chương trình kiểm tra và thay thế linh kiện kéo dài đến 2029.

Cục Đăng kiểm Việt Nam cho biết Volkswagen Việt Nam đang triệu hồi 75 xe Passat và Golf do nguy cơ lỗi bộ bơm khí túi khí Takata. Chương trình kiểm tra và thay thế linh kiện kéo dài từ tháng 2/2026 đến tháng 2/2029.

Sau gần một thập kỷ kể từ cuộc khủng hoảng túi khí Takata khiến hãng sản xuất linh kiện này phá sản, các chiến dịch triệu hồi liên quan vẫn tiếp tục xuất hiện tại nhiều thị trường. Tại Việt Nam, sau một số thương hiệu Nhật Bản như Honda và Toyota, Volkswagen là hãng tiếp theo triển khai chương trình triệu hồi xe do liên quan đến túi khí Takata.

1-7675.jpg
Volkswagen Passat và Golf bị triệu hồi tại Việt Nam vì lỗi túi khí.

Theo thông tin từ Cục Đăng kiểm Việt Nam, nhà nhập khẩu và phân phối chính hãng ôtô Volkswagen tại Việt Nam đang tiến hành triệu hồi tổng cộng 75 xe.

Các xe nằm trong diện triệu hồi chủ yếu thuộc hai mẫu Volkswagen Passat và Volkswagen Golf. Những xe này được sản xuất trong giai đoạn từ ngày 1/11/2009 đến ngày 31/12/2015 và đã được phân phối tới khách hàng tại Việt Nam.

Theo Volkswagen, bộ phận bơm khí của túi khí Takata đặt trên vô lăng có thể bị ảnh hưởng bởi độ ẩm theo thời gian trong một số điều kiện khí hậu nhất định.

2-599.jpg
Chương trình kiểm tra và thay thế linh kiện kéo dài đến 2029.

Khi xảy ra va chạm và túi khí được kích hoạt, bộ phận bơm khí có thể tạo ra áp suất quá lớn, dẫn đến nguy cơ nứt vỡ. Trong trường hợp này, các mảnh kim loại từ bộ phận bơm khí có thể văng ra và gây thương tích cho người ngồi trong xe.

Volkswagen cho biết giải pháp khắc phục là thay thế bộ phận túi khí bị ảnh hưởng. Vì vậy, hãng quyết định triệu hồi toàn bộ các xe nằm trong danh sách để kiểm tra và thay thế linh kiện nếu cần thiết.

Chương trình triệu hồi được triển khai trong thời gian ba năm, từ tháng 2/2026 đến tháng 2/2029. Thời gian kiểm tra và thay thế linh kiện trên mỗi xe dự kiến khoảng 65 phút. Đây là chương trình triệu hồi đầu tiên của Volkswagen tại Việt Nam trong năm 2026 và chủ yếu áp dụng với các xe đời cũ.

3-3424.jpg
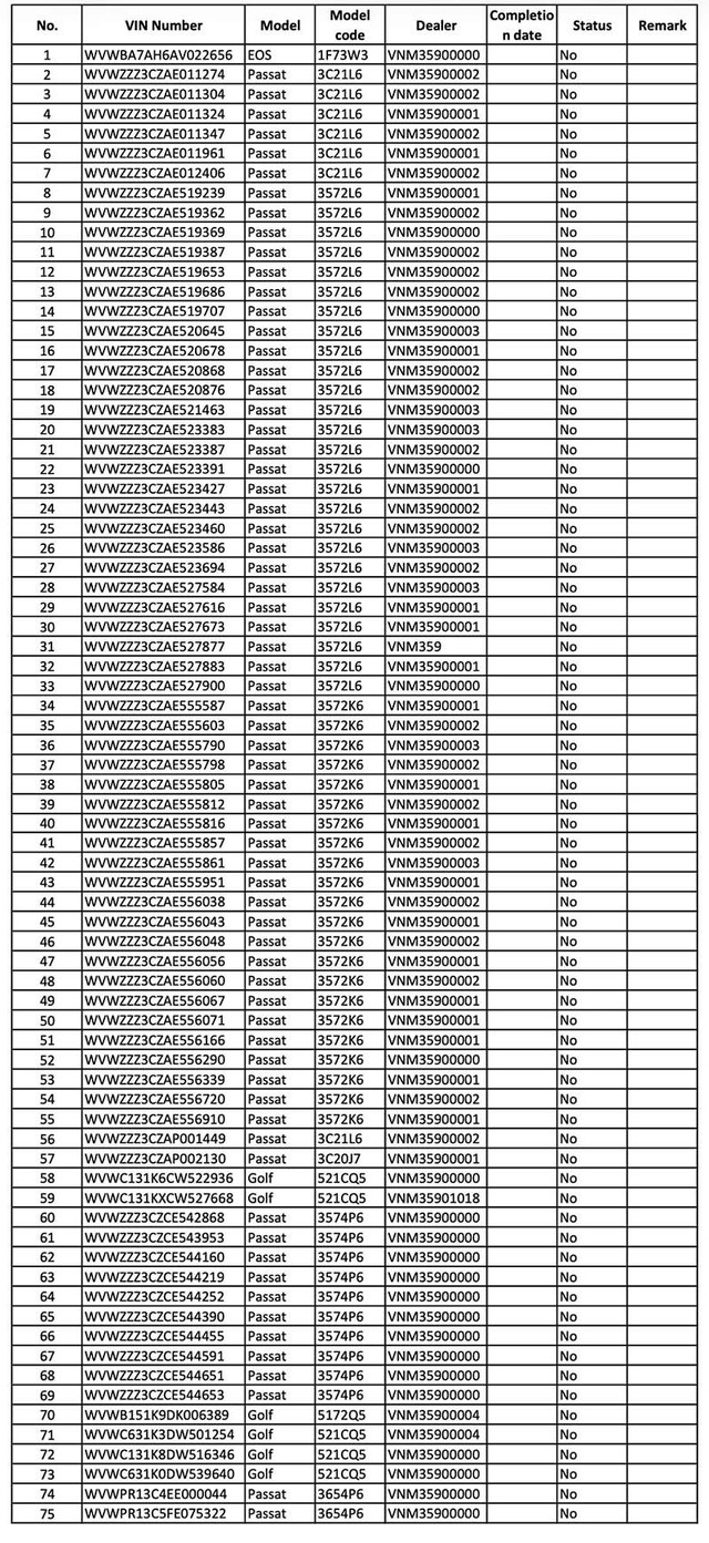
Danh sách các mẫu Volkswagen Golf, Passat phải triệu hồi lần này.

Volkswagen Teramont Pro sắp ra mắt Việt Nam, dự kiến từ 2,79 tỷ đồng

Volkswagen Việt Nam vừa chính thức nhận đặt cọc cho dòng Teramont Pro 2026. Đây là mẫu SUV hạng sang cỡ lớn được hãng hé lộ sẽ có ghế thương gia Queen Seat.

1-8960.jpg
Volkswagen Việt Nam vừa công bố nhận đặt hàng sớm cho mẫu xe gầm cao cỡ lớn Teramont Pro 2026 mới với hai tùy chọn cấu hình. Phiên bản tiêu chuẩn Teramont Pro có giá dự kiến 2,799 tỷ đồng, đi kèm bốn màu sơn ngoại thất gồm trắng, đen, tím và xanh.
2-6862.jpg
Bản cao cấp Volkswagen Teramont Pro Max 2026 có mức giá tạm tính là 2,888 tỷ đồng, cung cấp ba màu sơn là trắng, tím và xanh. Khách hàng chốt cọc mẫu xe này sẽ được hưởng chính sách bảo hành ba năm hoặc 100.000 km, kèm gói ưu đãi ba năm bảo dưỡng miễn phí.

Volkswagen xây dựng nền tảng mới để cạnh tranh tại Trung Quốc

Với nền tảng CEA hợp tác cùng Xpeng, Volkswagen hướng tới sản xuất hàng loạt xe điện tại Trung Quốc, nhằm bắt kịp tốc độ đổi mới của các hãng nội địa.

Video: Volkswagen Multivan T7 2027 lộ diện hoàn toàn khi chạy thử.

Volkswagen đang đẩy mạnh chiến lược "Trung Quốc hóa" sản phẩm khi đặt mục tiêu đến năm 2030 sẽ sản xuất phần lớn các mẫu xe bán tại thị trường Trung Quốc dựa trên nền tảng kiến trúc điện tử mới do hãng phát triển cùng nhà sản xuất xe điện Xpeng, trong nỗ lực giành lại vị thế tại thị trường ôtô lớn nhất thế giới.

Volkswagen Atlas 2027 chưa ra mắt, nhưng dân Trung Quốc đã sở hữu?

Mẫu xe SUV Volkswagen Atlas 2027 được thiết kế lại đã được hé lộ trước thềm triển lãm New York, thừa hưởng nhiều yếu tố từ mẫu Teramont Pro của Trung Quốc.

1-3549.jpg
Atlas là mẫu xe bán chạy thứ hai của Volkswagen tại Mỹ, vì vậy Volkswagen đang chuẩn bị "lột xác" nó với thế hệ thứ 2. Dự kiến ​​sẽ được ra mắt tại Triển lãm Ô tô New York 2026 vào tháng Tư, mẫu xe thực chất rất giống với chiếc Teramont Pro của Trung Quốc ra mắt vào năm ngoái.
2-7935.jpg
Và dù là thế hệ mới, nhưng xe có nhiều điểm chung với Atlas đời trước, bao gồm cả chiều dài cơ sở 2.980mm. Auto News cũng cho biết phần mái được giữ nguyên, mặc dù tất cả các bộ phận kim loại khác đều được thiết kế mới.